蚊群具有某些类型的机械性能,有时还会对一种作为粘弹性的刺激做出反应,这是斯坦福大学和罗瑟姆斯特德研究所一组研究人员的发现。在发表于《科学进展》(Science Advances)上的研究中,该小组描述了他们对一种蠓群体行为的研究以及发现。蠓是两翅苍蝇的一种分类,有许多物种,其中大多数与生活在水或沼泽地区附近的蜂群有关,在这项新研究中,研究人员希望从整个群体的角度。
而不是从群体中的个体的角度,更多地了解群体行为的物理特性。为了达到这个目的,研究人员获得了大量的雄性摇蚊,这些摇蚊会聚集在一个特定物体上,比如树桩上,作为交配仪式的一部分。在实验室里,研究人员在水箱底部放了一块方形的黑色毡,让蠓作为它们的定向对象。当那块毛毡被移动时,蜂群做出了反应。为了测试蜂群对它的反应,毡方被连接到一个小型振动装置上,研究特别关注的是群体作为一个整体对下方移动物体的反应。
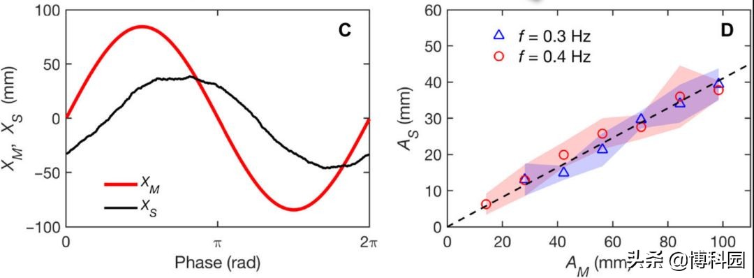
研究发现,其行为是分层的,那些离运动物体近的,比那些离运动物体较远的反应更快。研究人员认为,这可能是由于个体之间的信息传播延迟造成。研究还观察了蜂群的力学特性——有时蜂群表现得很有弹性,而有时则表现得更像一种粘性液体。这在物理学术语中意味着它表现得像一种粘弹性材料。研究还发现,有时粘度特性被弹性特性所克服,这导致了蜂群整体运动的阻尼效应。
研究人员认为这使得蜂群更加稳定,使得雌性更容易找到它,发现可能与成群结队有关。群居动物通常形成群体,被认为表现出紧急的集体行为。这一假设表明,动物群体在群体尺度上应该具有与个体不直接相关的属性,就像大块材料具有与其组成原子不同的属性一样。通常通过测量材料对受控扰动的响应来探测材料,但这些实验很难在动物群体上进行,尤其是在野外。
本研究展示了实验室蚊群具有突现的连续体力学特性,显示了对应用振动视觉刺激的集体粘弹性响应,这使研究人员能够为蚊群提取存储和损失模量。发现蜂群在粘性和惯性两方面都存在强阻尼扰动。因此,不像鸟群,似乎使用集体行为来促进无损的信息流通过群体,结果表明,蚊群使用它来稳定自己,以抵御环境的干扰。














