具有交换阻挫磁系统中的拓扑自旋织构,如Skyrmions和Bimerons可能表现出非平凡的拓扑和奇异动力学。在来自中国、日本和澳大利亚一个国际研究小组一项新的研究中,研究人员从理论上研究了具有交换阻挫和面内磁各向异性的铁磁性单层中拓扑非平凡双聚体的静态和动态性质。研究发现,双聚体表现出丰富由自旋轨道力矩诱导的动力学,这取决于驱动电流设置以及双翼的拓扑结构。
研究通过计算证明了阻挫双聚体可以在拓扑守恒的情况下合并。与核物理类似,具有较高拓扑电荷的阻挫双分子在能量上更有利。这一研究表明,阻挫磁体中的自旋动力学,可能比常规手性磁体中的自旋动力学更为复杂和多样。其研究结果发表在《物理评论B》期刊上,论文由香港中文大学深圳分校以及来自日本东京大学、日本新宿大学、澳大利亚新南威尔士大学和四川师范大学的四位合作者共同完成。
这项研究的第一作者、中科院博士后研究员张喜超(音译)博士说:以前,我们研究了具有竞争相互作用阻挫自旋系统中的Skyrmions动力学,现在正在考虑其他拓扑自旋纹理。Bimular是Skyrmion的拓扑对应,它也带有整数拓扑电荷。事实上,在这项研究中,从数值上发现,阻挫的双分子确实具有一些新的动力学特征,例如,它可以被驱动成直线运动或旋转。
新南威尔士大学高级讲师、这项研究的合著者奥列格·A·特雷蒂亚科夫博士解释说:在平面磁化系统中,双分子可以作为拓扑保护的信息位。阻挫平面内铁磁薄膜的优势是,它们可以容纳不同拓扑电荷的稳定双分子,从而允许在这些系统中进行更高级的逻辑运算。该研究的通讯作者、CUHKSZ副教授周岩(音译)博士解释说:Skyrmions和Bimerons都可以作为非易失性信息载体。
因此研究这些拓扑自旋织构在不同磁系统中的静态和动态特性是值得的,这将有助于未来基于它们的自旋电子器件设计。磁性双翼是面内磁体中天空微子的拓扑对应,可以作为自旋电子的信息载体,研究了具有不同拓扑结构的双分子,在阻挫铁磁单分子膜中的静态性质,其中双分子结构是用涡度来表征。由自旋轨道力矩驱动的阻挫双分子动力学,这取决于类阻尼力矩和类场力矩的强度。
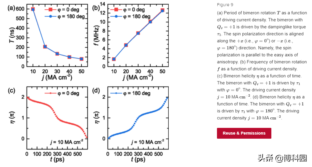
当自旋极化垂直于易轴时,可以被驱动成线性或椭圆形运动,从数值上揭示了类阻尼扭矩驱动双翼霍尔角的阻尼依赖关系。当自旋极化平行于易轴时,可由类阻尼扭矩驱动旋转,旋转频率与驱动电流密度成正比。此外数值论证了通过电流驱动的不同拓扑电荷双分子态的碰撞和合并来产生具有较高或较低拓扑电荷的双分子状态,其研究结果可能对理解阻挫磁体中的双翼物理是有用的。
博科园|研究/来自:香港中文大学
研究发表期刊《物理评论B》
关注【博科园】看更多大美宇宙科学














